DAFTAR ISI
*klik teks untuk menuju
1. Pendahuluan[kembali]
Penguat operasional (Operational Amplifier) atau yang biasa disebut dengan op-amp, merupakan penguat elektronika yang banyak digunakan untuk membuat rangkaian detektor, komparator, penguat audio, video, pembangkit sinyal, multivibrator, filter, ADC, DAC, rangkaian penggerak dan berbagai macam rangkaian analog lainnya.
Op-amp pada umumnya tersedia dalam bentuk rangkaian terpadu yang memiliki karakteristik mendekati karakteristik penguat operasional ideal tanpa perlu memperhatikan apa yang terdapat di dalamnya.
Ada tiga karakteristik utama op-amp ideal, yaitu;
1. Gain sangat besar (AOL >>).
Penguatan open loop adalah sangat besar karena feedback-nya tidak ada atau RF = tak terhingga.
2. Impedansi input sangat besar (Zi >>).
Impedansi input adalah sangat besar sehingga arus input ke rangkaian dalam op-amp sangat kecil sehingga tegangan input sepenuhnya dapat dikuatkan.
3. Impedansi output sangat kecil (Zo <<).
Impedansi output adalah sangat kecil sehingga tegangan output stabil karena tahanan beban lebih besar yang diparalelkan dengan Zo <<. Adapun simbol op-amp adalah seperti pada gambar
Simbol op-amp dimana, V1 adalah tegangan masukan dari kaki non inverting V2 adalah tegangan masukan dari kaki inverting Vo adalah tegangan keluaran sehingga
Tegangan output maksimum secara praktis dihasilkan sekitar 2 Volt dibawah tegangan sumber Vs dan disebut juga sebesar tegangan saturasi Vsat Gambar 65 memperlihatkan kurva karakteristik hubungan Vi terhadap Vo untuk rangkaian op-amp dengan tegangan input dihubungkan ke kaki input non inverting (+) dan tegangan 0 Volt (di ground) ke kaki input inverting (-). Sesuai dengan nama input op-amp yaitu apabila input dimasukkan ke kaki non inverting (+) yang artinya tidak membalik maka tegangan output yang dihasilkan adalah sefasa dengan tegangan input. Seperti terlihat pada gambar 1 yaitu saat input Vi bertegangan positif maka output yang dihasilkan juga bertegangan positif dan sebaliknya.
Contoh 1:
Diket:
Rangkaian non inverting dengan Vi dihubungkan ke input (+) dan men-ground input (-). Op-amp yang digunakan adalah IC 741 dengan AOL = 200.000 x dan tegangan sumber yang digunakan adalah ±Vs=±15 Volt.
Dit:
Artinya, berdasarkan gambar 65 maka untuk berfungsi sebagai rangkaian detektor maka tegangan input Vi adalah > 65 µ Volt dan < -65 µ Volt sehingga akan menghasilkan Vo dalam kondisi +Vsat atau –Vsat.
2. Detektor[kembali]
Rangkaian detektor ada 2 macam yaitu:
1.1. Detektor inverting
a. Dengan Vref = 0 Volt
Rangkaian detektor inverting dengan tegangan input Vi berupa gelombang segitiga dan tegangan referensi Vref = 0 Volt adalah seperti gambar 66.
Dengan menggunakan persamaan (1) maka Vi = V2 dan Vref = V1 sehingga bentuk gelombang tegangan output Vo ( ) yang dihasilkan adalah seperti gambar 67.
Adapun kurva karakteristik Input-Ouput (I-O) adalah seperti gambar 68. Dengan Vi > 0 (artinya Vi > 65 µ Volt untuk rangkaian detektor dengan ±Vs = ±15 Volt) maka Vo = -Vsat dan sebaliknya bila Vi < 0 (artinya Vi < -65 µ Volt untuk rangkaian detektor dengan ±Vs = ±15 Volt) maka Vo = +Vsat.
b. Dengan Vref = bertegangan positif
Rangkaian detektor inverting dengan tegangan input Vi berupa gelombang segitiga dan tegangan referensi Vref > 0 Volt adalah seperti gambar 69.
Dengan menggunakan persamaan (1) maka Vi = V2 dan Vref = V1 sehingga bentuk gelombang tegangan output Vo ( ) yang dihasilkan adalah seperti gambar 70.
Adapun kurva karakteristik Input-Ouput (I-O) adalah seperti gambar 71. Dengan Vi > Vref maka Vo = -Vsat dan sebaliknya bila Vi < Vref maka Vo = +Vsat.
c. Dengan Vref = bertegangan negatif
Rangkaian detektor inverting dengan tegangan input Vi berupa gelombang segitiga dan tegangan referensi Vref < 0 Volt adalah seperti gambar 72.
Dengan menggunakan persamaan (1) maka Vi = V2 dan Vref = V1 sehingga bentuk gelombang tegangan output Vo ( ) yang dihasilkan adalah seperti gambar 73.
Adapun kurva karakteristik Input-Ouput (I-O) adalah seperti gambar 74. Dengan Vi > Vref maka Vo = -Vsat dan sebaliknya bila Vi < Vref maka Vo = +Vsat.
1.2 Detektor non inverting
a. Dengan Vref = 0 Volt
Rangkaian detektor non inverting dengan tegangan input Vi berupa gelombang segitiga dan tegangan referensi Vref = 0 Volt adalah seperti gambar 75.
Adapun kurva karakteristik Input-Ouput (I-O) adalah seperti gambar 77. Dengan Vi > 0 maka Vo = +Vsat dan sebaliknya bila Vi < 0 maka Vo = -Vsat.
b. Dengan Vref = bertegangan positif
Rangkaian detektor non inverting dengan tegangan input Vi berupa gelombang segitiga dan tegangan referensi Vref > 0 Volt adalah seperti gambar 78

Adapun kurva karakteristik Input-Ouput (I-O) adalah seperti gambar 80. Dengan Vi > 0 maka Vo = +Vsat dan sebaliknya bila Vi < 0 maka Vo = -Vsat.
c. Dengan Vref = bertegangan negatif
Rangkaian detektor non inverting dengan tegangan input Vi berupa gelombang segitiga dan tegangan referensi Vref < 0 Volt adalah seperti gambar 81.

Adapun kurva karakteristik Input-Ouput (I-O) adalah seperti gambar 83. Dengan Vi > 0 maka Vo = +Vsat dan sebaliknya bila Vi < 0 maka Vo = -Vsat.
3. Komparator[kembali]
Ketika rangkaian detektor dengan input Vi ditumpangi oleh noise Vn yang berfrekuensi tinggi seperti gambar 84 maka frekuensi output menjadi tidak sama dengan frekuensi input seperti terlihat pada gambar 85.
Untuk menghindari pengaruh tegangan noise Vn yang membuat frekuensi output tidak sama dengan frekuensi inputnya maka digunakan rangkaian komparator dengan feedback positif seperti gambar 86 dan menjadikan frekuensi output sama dengan frekuensi input walaupun ada terjadi pergeseran fasa seperti terlihat pada gambar 87.
a. Dengan Vref = 0 Volt
Rangkaian komparator inverting dengan tegangan input Vi berupa gelombang segitiga dan tegangan referensi Vref = 0 Volt adalah seperti gambar 88.

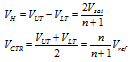
Untuk menghitung berapa tegangan ambang VUT(Upper Threshold Voltage) atau VLT(Lower Threshold Voltage) maka lakukan pemisalan kondisi tegangan output VO sama dengan +Vsat atau –Vsat.
Misalkan tegangan output VO = +Vsat seperti gambar 89 maka dapat dihitung tegangan ambang atas VUT:

Misalkan tegangan output VO = -Vsat seperti gambar 90 maka dapat dihitung tegangan ambang bawah VLT:

Bentuk gelombang tegangan output VO adalah seperti pada gambar 91 dan karakteristik I-O seperti pada gambar 92.



b. Dengan Vref 0 Volt
Rangkaian komparator inverting dengan tegangan input Vi berupa gelombang segitiga dan tegangan referensi Vref 0 Volt adalah seperti gambar 93.

Misalkan tegangan output VO = +Vsat seperti gambar 94 maka dapat dihitung tegangan ambang atas VUT:

Misalkan tegangan output VO = -Vsat seperti gambar 95 maka dapat dihitung tegangan ambang bawah VLT:

Bentuk gelombang tegangan output VO adalah seperti pada gambar 96 dan gambar 97 dan karakteristik I-O seperti pada gambar 98 dan gambar 99.





4.2.2. Komparator non inverting
a. Dengan Vref = 0 Volt
Rangkaian komparator non inverting dengan tegangan input Vi berupa gelombang segitiga dan tegangan referensi Vref = 0 Volt adalah seperti gambar 100.


Untuk menghitung berapa tegangan ambang VUT atau VLT maka lakukan pemisalan kondisi tegangan output VO sama dengan +Vsat atau –Vsat.
Misalkan tegangan output VO = +Vsat seperti gambar 101 maka dapat dihitung tegangan ambang atas VLT:

Misalkan tegangan output VO = -Vsat seperti gambar 102 maka dapat dihitung tegangan ambang bawah VUT:

Bentuk gelombang tegangan output VO adalah seperti pada gambar 103 dan karakteristik I-O seperti pada gambar 104.


b. Dengan Vref 0 Volt
Rangkaian komparator non inverting dengan tegangan input Vi berupa gelombang segitiga dan tegangan referensi Vref 0 Volt adalah seperti gambar 105

Misalkan tegangan output VO = +Vsat seperti gambar 106 maka dapat dihitung tegangan ambang atas VLT:

Misalkan tegangan output VO = -Vsat seperti gambar 107 maka dapat dihitung tegangan ambang bawah VUT:

Bentuk gelombang tegangan output VO adalah seperti pada gambar 108 dan gambar 109 dan karakteristik I-O seperti pada gambar 110 dan gambar 111.

4. Amplifier[kembali]
Gambar 112 memperlihatkan rangkaian op-amp dengan kurva karakteristik Input-Output yaitu hubungan Vi terhadap VO. Dari kurva Karakteristik I-O tersebut amplifier bekerja pada karakteristik yang membentuk hubungan linear artinya semakin besar Vi maka semakin besar juga VO dan sebaliknya. Operasi amplifier menghindari output dalam kondisi saturasi karena akan membuat cacat keluaran outputnya.
Ciri-ciri rangkaian amplifier adalah adanya feedback (umpan balik) negatif dari output ke input inverting (-) op-amp.
Rangkaian amplifier ada 4 macam, yaitu:
3.1 Inverting Amplifier
Adapun rangkaian inverting amplifier adalah seperti gambar 113 dimana sesuai dengan namanya yaitu dengan input dimasukkan ke kaki inverting (pembalik) sehingga output akan dibalik atau beda fasa sebesar 180 derajat.
Untuk mencari turunan penguatan tegangan ACL maka rangkaian dimisalkan dahulu dengan input dc positif, seperti gambar 114. Dalam analisa rangkaian amplifier disyaratkan op-amp bekerja ideal sehingga tegangan differensial (selisih tegangan di kaki non inverting terhadap tegangan di kaki inverting) Ed = 0, artinya VA (tegangan di titik A) = 0 sehingga arus yang melewati Ri sama dengan arus yang melewati Rf karena arus yang masuk ke kaki inverting sangat kecil karena sifat op-amp dimana impendasi (Zi) inputnya sangat besar. Adapun rangkaian pengganti untuk menghitung arus I adalah seperti gambar 115.
Dari rangkaian gambar 114 dengan Ed = 0 maka VA = 0 sehingga rangkaian dapat disederhanakan menjadi seperti gambar 51 untuk mencari arus I.


Rangkaian inverting adder amplifier (pembalik) adalah seperti gambar 118.

Dari gambar 118 dengan memakai hukum Kirchoff dimana arus masuk sama dengan arus keluar I = I1 + I2 + I3 sehingga arus di Rf sama dengan jumlah arus di R1, R2 dan R3.
Syarat op-amp ideal adalah Ed = 0 sehingga VA = 0
maka,


3.2 Non Inverting Amplifier
Rangkaian non inverting amplifier (tidak membalik) adalah seperti gambar 122, input dimasukkan ke kaki non inverting sehingga tegangan output yang dihasilkan sefasa dengan tegangan input. Untuk mencari turunan penguatan tegangan ACL maka rangkaian dimisalkan dahulu dengan input dc positif, seperti gambar 123


Dari rangkaian gambar 123 dengan syarat op-amp ideal Ed = 0 maka VA = Vi sehingga rangkaian dapat disederhanakan untuk mencari arus I seperti gambar 124.


Adapun hasil simulasi bentuk gelombang I-O seperti gambar 125 dan karakteristik I-O seperti gambar dibawah


3.2.1 Non Inverting Adder Amplifier
Rangkaian non inverting adder amplifier (pembalik) adalah seperti gambar 127.

Dari gambar 127 dengan memakai metoda loop tertutup untuk mencari arus loop sehingga bisa dicari tegangan input Vi.
Syarat op-amp ideal adalah Ed = 0 sehingga VA = Vi
maka,

substitusi I

substitusi Vi

Jika memakai tiga input seperti gambar 128 maka rumus tegangan VO dapat dicari dengan metoda loop tertutup tersebut, adapun turunan rumus VO adalah:

Selesaikan dua persamaan diatas dengan metoda matrik untuk mencari I1, didapatkan;

substitusi I,

substitusi Vi

dan bila Rf = 2R maka Vo=V1+V2+V3

3.3 Voltage Follower
Rangkaian voltage follower atau buffer dimana ACL = 1, adalah seperti pada gambar 129.

Syarat op-amp ideal adalah Ed = 0 maka VO = Vi sehingga

Bentuk gelombang tegangan input dan gelombang tegangan output adalah sama karena ACL = 1 dan sefasa karena Vi diinputkan ke kaki non inverting seperti pada gambar 130 dan kurva karakteristik I-O seperti gambar 131.


3.4 Differential Amplifier
Rangkaian Differential Amplifier adalah seperti pada gambar 132.

Rangkaian Differential Amplifier adalah menghasilkan selisihdari dua input yang satu diinputkan ke kaki inverting dan yang satu lagi diinputkan ke kaki non inverting seperti terlihat pada gambar 132 diatas.
Untuk mendapatkan rumus Vo maka pertama digroundkan V2 sehingga rangkaian menjadi rangkaian non inverting amplifier seperti gambar 133


Untuk mendapatkan rumus Vo maka digroundkan V1 sehingga rangkaian menjadi rangkaian inverting amplifier seperti gambar 134.
dimana,



Bentuk gelombang tegangan input V1 dan V2 serta gelombang tegangan output VO adalah seperti pada gambar 135.

5. Penguat Sinyal[kembali]
4.1 Ramp Generator
Rangkaian Ramp generator berdasarkan respon outputnya ada dua macam yaitu ramp-up dan ramp-down seperti pada gambar 136.

Untuk membuat respon seperti gambar 136 maka rangkaian memakai kapasitor dengan menerapkan prinsip kerja kapasitor seperti pada gambar 137.


Rangkaian Ramp generator adalah seperti pada gambar 138.


Bentuk gelombang tegangan output VO adalah seperti pada gambar dibawah ini

Rangkaian pembangkit gelombang segitiga (Triangle Generator) dapat dibuat dari rangkaian ramp generator diseri dengan komparator dan output komparator di-feedback-kan ke input ramp generator.seperti gambar 140 dan bentuk gelombang output seperti gambar 141.


dimana

dengan t1 adalah ramp generator bekerja sebagai Ramp-down, t2=Ramp-up dan t3=Ramp-down.
selama,

saat,

selama,

1.1. Detektor inverting
a. Dengan Vref = 0 Volt
Rangkaian detektor inverting dengan tegangan input Vi berupa gelombang segitiga dan tegangan referensi Vref = 0 Volt adalah seperti gambar 66.
Dengan menggunakan persamaan (1) maka Vi = V2 dan Vref = V1 sehingga bentuk gelombang tegangan output Vo ( ) yang dihasilkan adalah seperti gambar 67.
Adapun kurva karakteristik Input-Ouput (I-O) adalah seperti gambar 68. Dengan Vi > 0 (artinya Vi > 65 µ Volt untuk rangkaian detektor dengan ±Vs = ±15 Volt) maka Vo = -Vsat dan sebaliknya bila Vi < 0 (artinya Vi < -65 µ Volt untuk rangkaian detektor dengan ±Vs = ±15 Volt) maka Vo = +Vsat.
b. Dengan Vref = bertegangan positif
Rangkaian detektor inverting dengan tegangan input Vi berupa gelombang segitiga dan tegangan referensi Vref > 0 Volt adalah seperti gambar 69.
Dengan menggunakan persamaan (1) maka Vi = V2 dan Vref = V1 sehingga bentuk gelombang tegangan output Vo ( ) yang dihasilkan adalah seperti gambar 70.
Adapun kurva karakteristik Input-Ouput (I-O) adalah seperti gambar 71. Dengan Vi > Vref maka Vo = -Vsat dan sebaliknya bila Vi < Vref maka Vo = +Vsat.
c. Dengan Vref = bertegangan negatif
Rangkaian detektor inverting dengan tegangan input Vi berupa gelombang segitiga dan tegangan referensi Vref < 0 Volt adalah seperti gambar 72.
Dengan menggunakan persamaan (1) maka Vi = V2 dan Vref = V1 sehingga bentuk gelombang tegangan output Vo ( ) yang dihasilkan adalah seperti gambar 73.
Adapun kurva karakteristik Input-Ouput (I-O) adalah seperti gambar 74. Dengan Vi > Vref maka Vo = -Vsat dan sebaliknya bila Vi < Vref maka Vo = +Vsat.
1.2 Detektor non inverting
a. Dengan Vref = 0 Volt
Rangkaian detektor non inverting dengan tegangan input Vi berupa gelombang segitiga dan tegangan referensi Vref = 0 Volt adalah seperti gambar 75.
Adapun kurva karakteristik Input-Ouput (I-O) adalah seperti gambar 77. Dengan Vi > 0 maka Vo = +Vsat dan sebaliknya bila Vi < 0 maka Vo = -Vsat.
b. Dengan Vref = bertegangan positif
Rangkaian detektor non inverting dengan tegangan input Vi berupa gelombang segitiga dan tegangan referensi Vref > 0 Volt adalah seperti gambar 78
Adapun kurva karakteristik Input-Ouput (I-O) adalah seperti gambar 80. Dengan Vi > 0 maka Vo = +Vsat dan sebaliknya bila Vi < 0 maka Vo = -Vsat.
c. Dengan Vref = bertegangan negatif
Rangkaian detektor non inverting dengan tegangan input Vi berupa gelombang segitiga dan tegangan referensi Vref < 0 Volt adalah seperti gambar 81.
Adapun kurva karakteristik Input-Ouput (I-O) adalah seperti gambar 83. Dengan Vi > 0 maka Vo = +Vsat dan sebaliknya bila Vi < 0 maka Vo = -Vsat.
3. Komparator[kembali]
Ketika rangkaian detektor dengan input Vi ditumpangi oleh noise Vn yang berfrekuensi tinggi seperti gambar 84 maka frekuensi output menjadi tidak sama dengan frekuensi input seperti terlihat pada gambar 85.
Untuk menghindari pengaruh tegangan noise Vn yang membuat frekuensi output tidak sama dengan frekuensi inputnya maka digunakan rangkaian komparator dengan feedback positif seperti gambar 86 dan menjadikan frekuensi output sama dengan frekuensi input walaupun ada terjadi pergeseran fasa seperti terlihat pada gambar 87.
Rangkaian komparator ada 2 macam yaitu: 2.1. Komparator inverting
a. Dengan Vref = 0 Volt
Rangkaian komparator inverting dengan tegangan input Vi berupa gelombang segitiga dan tegangan referensi Vref = 0 Volt adalah seperti gambar 88.
Untuk menghitung berapa tegangan ambang VUT(Upper Threshold Voltage) atau VLT(Lower Threshold Voltage) maka lakukan pemisalan kondisi tegangan output VO sama dengan +Vsat atau –Vsat.
Misalkan tegangan output VO = +Vsat seperti gambar 89 maka dapat dihitung tegangan ambang atas VUT:
Misalkan tegangan output VO = -Vsat seperti gambar 90 maka dapat dihitung tegangan ambang bawah VLT:
Bentuk gelombang tegangan output VO adalah seperti pada gambar 91 dan karakteristik I-O seperti pada gambar 92.
b. Dengan Vref 0 Volt
Rangkaian komparator inverting dengan tegangan input Vi berupa gelombang segitiga dan tegangan referensi Vref 0 Volt adalah seperti gambar 93.
Misalkan tegangan output VO = +Vsat seperti gambar 94 maka dapat dihitung tegangan ambang atas VUT:
Misalkan tegangan output VO = -Vsat seperti gambar 95 maka dapat dihitung tegangan ambang bawah VLT:
Bentuk gelombang tegangan output VO adalah seperti pada gambar 96 dan gambar 97 dan karakteristik I-O seperti pada gambar 98 dan gambar 99.
4.2.2. Komparator non inverting
a. Dengan Vref = 0 Volt
Rangkaian komparator non inverting dengan tegangan input Vi berupa gelombang segitiga dan tegangan referensi Vref = 0 Volt adalah seperti gambar 100.
Untuk menghitung berapa tegangan ambang VUT atau VLT maka lakukan pemisalan kondisi tegangan output VO sama dengan +Vsat atau –Vsat.
Misalkan tegangan output VO = +Vsat seperti gambar 101 maka dapat dihitung tegangan ambang atas VLT:
Misalkan tegangan output VO = -Vsat seperti gambar 102 maka dapat dihitung tegangan ambang bawah VUT:
Bentuk gelombang tegangan output VO adalah seperti pada gambar 103 dan karakteristik I-O seperti pada gambar 104.
b. Dengan Vref 0 Volt
Rangkaian komparator non inverting dengan tegangan input Vi berupa gelombang segitiga dan tegangan referensi Vref 0 Volt adalah seperti gambar 105
Misalkan tegangan output VO = +Vsat seperti gambar 106 maka dapat dihitung tegangan ambang atas VLT:
Misalkan tegangan output VO = -Vsat seperti gambar 107 maka dapat dihitung tegangan ambang bawah VUT:
Bentuk gelombang tegangan output VO adalah seperti pada gambar 108 dan gambar 109 dan karakteristik I-O seperti pada gambar 110 dan gambar 111.
sehingga
4. Amplifier[kembali]
Gambar 112 memperlihatkan rangkaian op-amp dengan kurva karakteristik Input-Output yaitu hubungan Vi terhadap VO. Dari kurva Karakteristik I-O tersebut amplifier bekerja pada karakteristik yang membentuk hubungan linear artinya semakin besar Vi maka semakin besar juga VO dan sebaliknya. Operasi amplifier menghindari output dalam kondisi saturasi karena akan membuat cacat keluaran outputnya.
Ciri-ciri rangkaian amplifier adalah adanya feedback (umpan balik) negatif dari output ke input inverting (-) op-amp.
Rangkaian amplifier ada 4 macam, yaitu:
3.1 Inverting Amplifier
Adapun rangkaian inverting amplifier adalah seperti gambar 113 dimana sesuai dengan namanya yaitu dengan input dimasukkan ke kaki inverting (pembalik) sehingga output akan dibalik atau beda fasa sebesar 180 derajat.
Untuk mencari turunan penguatan tegangan ACL maka rangkaian dimisalkan dahulu dengan input dc positif, seperti gambar 114. Dalam analisa rangkaian amplifier disyaratkan op-amp bekerja ideal sehingga tegangan differensial (selisih tegangan di kaki non inverting terhadap tegangan di kaki inverting) Ed = 0, artinya VA (tegangan di titik A) = 0 sehingga arus yang melewati Ri sama dengan arus yang melewati Rf karena arus yang masuk ke kaki inverting sangat kecil karena sifat op-amp dimana impendasi (Zi) inputnya sangat besar. Adapun rangkaian pengganti untuk menghitung arus I adalah seperti gambar 115.
Dari rangkaian gambar 114 dengan Ed = 0 maka VA = 0 sehingga rangkaian dapat disederhanakan menjadi seperti gambar 51 untuk mencari arus I.
Bentuk gelombang tegangan output VO adalah seperti pada gambar 116 dan karakteristik I-O seperti pada gambar 117.
3.1.1 Inverting Adder AmplifierRangkaian inverting adder amplifier (pembalik) adalah seperti gambar 118.
Dari gambar 118 dengan memakai hukum Kirchoff dimana arus masuk sama dengan arus keluar I = I1 + I2 + I3 sehingga arus di Rf sama dengan jumlah arus di R1, R2 dan R3.
Syarat op-amp ideal adalah Ed = 0 sehingga VA = 0
maka,
3.2 Non Inverting Amplifier
Rangkaian non inverting amplifier (tidak membalik) adalah seperti gambar 122, input dimasukkan ke kaki non inverting sehingga tegangan output yang dihasilkan sefasa dengan tegangan input. Untuk mencari turunan penguatan tegangan ACL maka rangkaian dimisalkan dahulu dengan input dc positif, seperti gambar 123
Dari rangkaian gambar 123 dengan syarat op-amp ideal Ed = 0 maka VA = Vi sehingga rangkaian dapat disederhanakan untuk mencari arus I seperti gambar 124.
Adapun hasil simulasi bentuk gelombang I-O seperti gambar 125 dan karakteristik I-O seperti gambar dibawah
3.2.1 Non Inverting Adder Amplifier
Rangkaian non inverting adder amplifier (pembalik) adalah seperti gambar 127.
Dari gambar 127 dengan memakai metoda loop tertutup untuk mencari arus loop sehingga bisa dicari tegangan input Vi.
Syarat op-amp ideal adalah Ed = 0 sehingga VA = Vi
maka,
substitusi I
substitusi Vi
Jika memakai tiga input seperti gambar 128 maka rumus tegangan VO dapat dicari dengan metoda loop tertutup tersebut, adapun turunan rumus VO adalah:
Selesaikan dua persamaan diatas dengan metoda matrik untuk mencari I1, didapatkan;
substitusi I,
substitusi Vi
dan bila Rf = 2R maka Vo=V1+V2+V3
3.3 Voltage Follower
Rangkaian voltage follower atau buffer dimana ACL = 1, adalah seperti pada gambar 129.
Syarat op-amp ideal adalah Ed = 0 maka VO = Vi sehingga
Bentuk gelombang tegangan input dan gelombang tegangan output adalah sama karena ACL = 1 dan sefasa karena Vi diinputkan ke kaki non inverting seperti pada gambar 130 dan kurva karakteristik I-O seperti gambar 131.
3.4 Differential Amplifier
Rangkaian Differential Amplifier adalah seperti pada gambar 132.
Rangkaian Differential Amplifier adalah menghasilkan selisihdari dua input yang satu diinputkan ke kaki inverting dan yang satu lagi diinputkan ke kaki non inverting seperti terlihat pada gambar 132 diatas.
Untuk mendapatkan rumus Vo maka pertama digroundkan V2 sehingga rangkaian menjadi rangkaian non inverting amplifier seperti gambar 133
Untuk mendapatkan rumus Vo maka digroundkan V1 sehingga rangkaian menjadi rangkaian inverting amplifier seperti gambar 134.
dimana,
Bentuk gelombang tegangan input V1 dan V2 serta gelombang tegangan output VO adalah seperti pada gambar 135.
5. Penguat Sinyal[kembali]
4.1 Ramp Generator
Rangkaian Ramp generator berdasarkan respon outputnya ada dua macam yaitu ramp-up dan ramp-down seperti pada gambar 136.
Untuk membuat respon seperti gambar 136 maka rangkaian memakai kapasitor dengan menerapkan prinsip kerja kapasitor seperti pada gambar 137.
Rangkaian Ramp generator adalah seperti pada gambar 138.
Bentuk gelombang tegangan output VO adalah seperti pada gambar dibawah ini
Rangkaian pembangkit gelombang segitiga (Triangle Generator) dapat dibuat dari rangkaian ramp generator diseri dengan komparator dan output komparator di-feedback-kan ke input ramp generator.seperti gambar 140 dan bentuk gelombang output seperti gambar 141.
dimana
dengan t1 adalah ramp generator bekerja sebagai Ramp-down, t2=Ramp-up dan t3=Ramp-down.
selama,
saat,
selama,
maka,

bila,

Rangkaian astable multivibrator mempunyai Rf1 dan Rf2 untuk D > 50% adalah seperti pada gambar 151.

Rangkaian dan hasil simulasi untuk D 50% seperti gambar 152.
 
 
bila,
Rangkaian astable multivibrator mempunyai Rf1 dan Rf2 untuk D > 50% adalah seperti pada gambar 151.
Rangkaian dan hasil simulasi untuk D 50% seperti gambar 152.
4.6 One shot Multivibrator
Rangkaian One shot Multivibrator adalah rangkaian astable multivibrator yang mempunyai satu kondisi stabil dan akan kembali ke kondisi stabil kembali sesudah ditriger. Rangkaian One shot Multivibrator merupakan rangkaian astable multivibrator dengan ditambahkan rangkaian triger yang terhubung ke kaki non inverting seperti gambar 153. Untuk membuat kondisi output VO menjadi tidak stabil dapat diberikan sinyal input trigger positif maupun negatif sesuai rancangan seperti gambar 154.

Dari gambar 153 dapat dijelaskan bahwa pada saat keadaan steady state Vi = 0, VO = +Vsat sehingga,

1. Pengosongan kapasitor
Adapun kurva pengosongan kapasitor seperti gambar 149.


Pada Saat,

Eliminasi Vsat


Duty cycle(D),

Jika,

Maka,

Rangkaian dan hasil simulasi astable multivibrator seperti gambar 150.


untuk,

Rangkaian One shot Multivibrator adalah rangkaian astable multivibrator yang mempunyai satu kondisi stabil dan akan kembali ke kondisi stabil kembali sesudah ditriger. Rangkaian One shot Multivibrator merupakan rangkaian astable multivibrator dengan ditambahkan rangkaian triger yang terhubung ke kaki non inverting seperti gambar 153. Untuk membuat kondisi output VO menjadi tidak stabil dapat diberikan sinyal input trigger positif maupun negatif sesuai rancangan seperti gambar 154.
Dari gambar 153 dapat dijelaskan bahwa pada saat keadaan steady state Vi = 0, VO = +Vsat sehingga,
1. Pengosongan kapasitor
Adapun kurva pengosongan kapasitor seperti gambar 149.
Pada Saat,
Eliminasi Vsat
Duty cycle(D),
Jika,
Maka,
Rangkaian dan hasil simulasi astable multivibrator seperti gambar 150.
untuk,
maka kapasitor C mengisi (charge) dari VO melalui R3, D2, dan C ke ground      .
Tegangan kapasitor VC < VLT karena Vcmax = VD = 0,7 Volt.

dari penjumlahan tegangan Vip = 2 (–VLT) dengan VUT maka dihasilkan harga sama dengan VLT sehingga bila dibandingkan dengan input inverting sebesar Vd akan membuat output VO berubah dari +Vsat menjadi –Vsat dan Vref berubah menjadi sebesar VLT.
Kapasitor C mengalami discharge sampai VC £ VLT maka tegangan output VO berubah dari -Vsat menjadi +Vsat dan Vref berubah menjadi sebesar VUT seperti gambar 90.
Untuk membuat waktu kapasitor C saat charge (tC) lebih kecil adalah dengan memasang R yang lebih kecil. Misalkan R3=0,1 R4 maka tr (recovery time) = 0,1 t.

6. Link Download[kembali]
File HTML Download
Tegangan kapasitor VC < VLT karena Vcmax = VD = 0,7 Volt.
dari penjumlahan tegangan Vip = 2 (–VLT) dengan VUT maka dihasilkan harga sama dengan VLT sehingga bila dibandingkan dengan input inverting sebesar Vd akan membuat output VO berubah dari +Vsat menjadi –Vsat dan Vref berubah menjadi sebesar VLT.
Kapasitor C mengalami discharge sampai VC £ VLT maka tegangan output VO berubah dari -Vsat menjadi +Vsat dan Vref berubah menjadi sebesar VUT seperti gambar 90.
Untuk membuat waktu kapasitor C saat charge (tC) lebih kecil adalah dengan memasang R yang lebih kecil. Misalkan R3=0,1 R4 maka tr (recovery time) = 0,1 t.
6. Link Download[kembali]
File HTML Download
    File Rangkaian Download
 
 
Tidak ada komentar:
Posting Komentar